江南体育

公示公告

当前位置:江南体育  通知公告  公示公告

2019年博士定向招考资格审核通过名单公示

时间:2018-12-19作者: 审核: 来源:经济管理江南体育 点击:2544

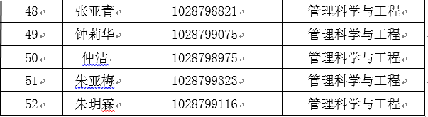
经过江南体育 对材料审查,以下同学通过定向招考资格审核:

江南体育官网

2018.12.19


江南体育 地址:江苏省南京市江宁区将军大道29号

邮政编码:211106

版权所有:江南体育 ALL RIGHTS RESERVED 苏ICP备05070685号