Research by Associate Prof. Gaofeng Da that proposes a novel approach to computing the signature of a system consisting of subsystems with shared components was featured in European Journal of Operational Research on March 2018. EJOR publishes high quality, original papers that contribute to the methodology of operational research (OR) and to the practice of decision making. EJOR is ranked as 4 on the new International ABS journal ranking list (very few journals are ranked 4*, the highest category), and it was an A on ERA list (again, very few journals were A*). “The new approach extends the study of computing system signatures in the literature as the majority of previous studies assumes that the sub- systems are disjointed (i.e., no shared components are allowed)”, the authors noted. Abstract is copied below.
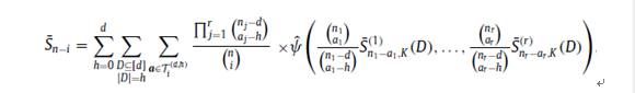
The computation of the signature of a complex system is often challenging, as it may involve a large number of components and a complex architecture. In this study, we propose a novel approach to computing the signature of a system consisting of subsystems with shared components. The proposed approach re- lies on a new concept called decomposed survival signatures. This new concept can be efficiently used to compute the signature of a modular system with an arbitrary organizing structure and to provide explicit formulas for computation. Applications in cyber systems, transportation systems, and branched oil pipeline systems are highlighted.



Read the paper “On the signature of complex system: A decomposed approach” (by Gaofeng Da, P. S. Chan and M. Xu) V265, p1115-1123, EJOR
Nanjing University of Aeronautics and Astronautics
Copyright 2017 | All Rights Reserved with NUAA